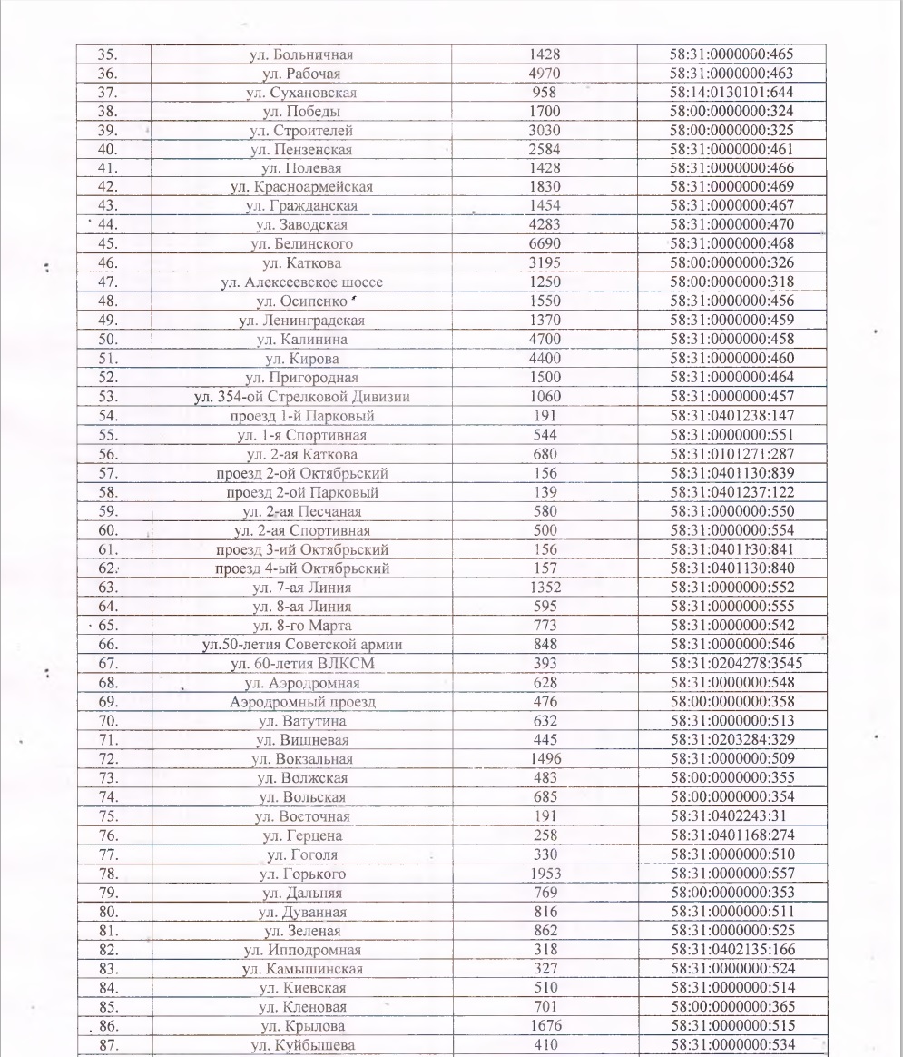
В единой системе госзакупок появился аукцион, заказчиком которого выступила администрация Кузнецка. В настоящее время в городе ищут подрядчика для проведения диагностики автомобильных дорог.
Итоги аукциона подведут 20 сентября. Начальная цена контракта составляет 3 504 345,00 рублей.
За эти деньги специалисты должны провести полную диагностику автомобильных дорог общего пользования. Цель данной процедуры – получение объективной и достоверной информации о транспортноэксплуатационном состоянии автомобильных дорог, условиях их работы и степени соответствия требованиям движения. Информация позволит планировать будущие работы по реконструкции и капремонту.
Подрядчик должен будет провести следующие виды работ:
– Геометрические параметры автомобильных дорог (план, продольный профиль, участки с необеспеченной видимостью в продольном профиле и плане).
– Измерение продольной и поперечной ровности (колейности) дорожного покрытия. При оценке продольной ровности дорожных покрытий выполняют сплошные или выборочные измерения в соответствии с ГОСТ.
– Измерение сцепных свойств дорожного покрытия.
– Измерение прочности дорожной одежды.
– Регистрация повреждений дорожного покрытия.
Все работы должны быть выполнены в срок до 31 декабря.
Читайте также: жители Кузнецка смогут попасть на прием к главному прокурору региона.

